• Inicio
  • Nuestros centros
    • Academia en Fuenlabrada
    • Academia en Moncloa
    • Academia en Atocha
    • Academia en Vicálvaro
    • Academia en Getafe
    • Academia en Móstoles
    • Academia en Leganés
    • Academia en Plaza Castilla
    • Academia en Alcalá
    • Academia en Alenza
    • Todos los centros
  • Universidades
    • UCM - Universidad Complutense de Madrid
    • UPM - Universidad Politécnica de Madrid
    • UAM - Universidad Autónoma de Madrid
    • URJCF - Universidad Rey Juan Carlos (Fuenlabrada)
    • URJCV - Universidad Rey Juan Carlos (Vicálvaro)
    • URJCM - Universidad Rey Juan Carlos (Móstoles)
    • UC3ML - Universidad Carlos III (Leganés)
    • UC3MG - Universidad Carlos III (Getafe)
    • UC3MC - Universidad Carlos III (Colmenarejo)
    • UAH - Universidad de Alcalá de Henares
    • UNED - Universidad Nacional de Educación a Distancia
    • OPO - Oposiciones
    • Todas las Universidades
  • Área de descargas
    • Ejercicios resueltos de colegio
    • Ejercicios resueltos de universidad
    • Ejercicios resueltos de selectividad
  • Otros servicios
    • Apoyo escolar
      • Selectividad
      • Bachillerato
      • Secundaria ESO
      • Primaria
    • Fotocopias
    • Autoescuelas
  • Contacto
Academia universitaria al mejor precio en Madrid Ejercicios resueltos - Montero Espinosa

montero espinosa

Academia Universitaria

Ejercicios resueltos >> Universidad >> Cálculo diferencial de varias variables

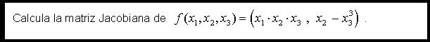
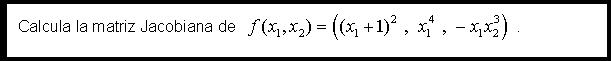
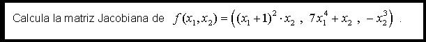
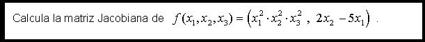
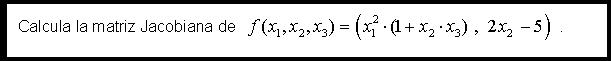
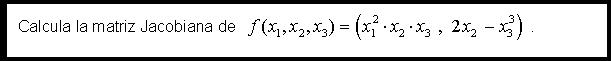
Matriz jacobiana

  • Matriz jacobiana I
    Enunciado 20406101 - Enunciado 20406102 - Enunciado 20406103 - Enunciado 20406104 - Enunciado 20406105 - Enunciado 20406106 - Enunciado 20406107 - Enunciado 20406108 - Enunciado 20406109 - Enunciado 20406110 - Enunciado 20406111 - Enunciado 20406112 -
  • Matriz jacobiana II
    Enunciado 20406201 - Enunciado 20406202 - Enunciado 20406203 - Enunciado 20406204 - Enunciado 20406205 - Enunciado 20406206 - Enunciado 20406207 - Enunciado 20406208 - Enunciado 20406209 - Enunciado 20406210 - Enunciado 20406211 - Enunciado 20406212 -

© MONTERO ESPINOSA 2026. Todos los derechos reservados. Política de privacidad